Gia tốc là một khái niệm quan trọng trong vật lý, đó là một đại lượng đo lường sự thay đổi vận tốc của một vật theo thời gian. Đại lượng này đóng vai trò quan trọng trong việc nghiên cứu chuyển động và các hiện tượng vật lý liên quan. Trong bài viết dưới đây, chúng ta sẽ tìm hiểu gia tốc là gì và công thức tính đại lượng này.
Gia tốc là gì?
Gia tốc là một đại lượng biểu hiện cho sự thay đổi của vận tốc theo mốc thời gian. Đây là đại lượng cơ bản nhất được dùng để mô tả sự chuyển động của vật thể. Gia tốc là một đại lượng hữu hướng, có cả độ lớn và hướng. Gia tốc có thứ nguyên là độ dài trên bình phương của thời gian. Trong hệ đơn vị quốc tế SI, gia tốc có đơn vị là m/s2 (mét trên giây bình phương).
Gia tốc có thể được phân loại thành các loại khác nhau, tùy thuộc vào sự thay đổi về độ lớn và phương của vận tốc. Mỗi loại gia tốc đều mang một tính chất riêng, chúng đều biểu hiện cho các đại lượng biểu thị vận tốc của một vật khi chuyển động.
Công thức tính gia tốc
Sau khi nắm được khái niệm gia tốc là gì thì ta có thể tìm hiểu công thức của đại lượng này. Công thức tính gia tốc là một công cụ quan trọng trong lĩnh vực vật lý, cho phép chúng ta đo lường và xác định sự thay đổi về tốc độ của một đối tượng nào đó trong quá trình di chuyển. Bằng cách áp dụng công thức tính gia tốc, chúng ta có thể hiểu rõ hơn về tác động và ảnh hưởng của các lực lên vật và tìm ra các thông tin quan trọng về chuyển động.
Công thức đơn giản khi tính gia tốc là gì
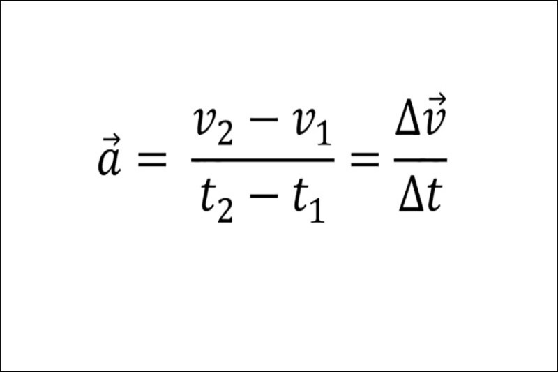
Công thức tính gia tốc đơn giản nhất là: a=Δv/Δt
Trong đó: a là gia tốc, đơn vị là mét trên giây bình (m/s2); Δv là biến thiên vận tốc, bằng hiệu số giữa vận tốc cuối và vận tốc đầu, đơn vị là mét trên giây (m/s); Δt là biến thiên thời gian, bằng hiệu số giữa thời gian cuối và thời gian đầu, đơn vị là giây (s). Công thức này chỉ áp dụng trong trường hợp khi gia tốc là hằng số, tức không thay đổi theo thời gian.
Để tính toán gia tốc trong các trường hợp phức tạp hơn như chuyển động không đều hoặc có sự tác động của các yếu tố khác như ma sát hay lực trở. Chúng ta cần sử dụng các công thức và phương pháp tính toán phức tạp hơn. Tuy nhiên, công thức tính gia tốc đơn giản này là một nền tảng quan trọng để hiểu và áp dụng trong các bài toán vật lý cơ bản.
Công thức tính gia tốc trong trường hợp chuyển động thẳng đều
Chuyển động thẳng đều là chuyển động có quỹ đạo là đường thẳng và gia tốc là hằng số. Trong trường hợp này, ta có thể sử dụng các công thức sau để tính gia tốc: a = (v – u) / t. Trong đó: a là gia tốc; v là vận tốc cuối cùng; u là vận tốc ban đầu; t là thời gian.
Bằng cách sử dụng các công thức trên, chúng ta có thể tính toán gia tốc trong trường hợp chuyển động thẳng đều khi biết hai trong số ba đại lượng: Vận tốc, thời gian và quãng đường. Nhưng để nắm được những điều này, việc đầu tiên mà bất cứ ai cũng phải làm chính là hiểu được chi tiết về khái niệm gia tốc là gì. Điều này giúp chúng ta hiểu rõ hơn về sự thay đổi vận tốc của vật trong quá trình di chuyển và tương quan giữa các đại lượng vật lý trong chuyển động thẳng đều.
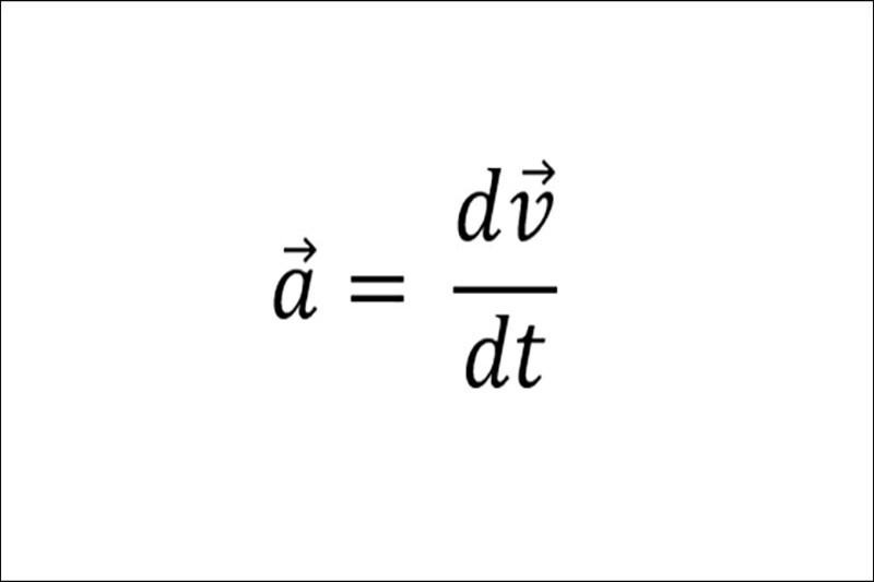
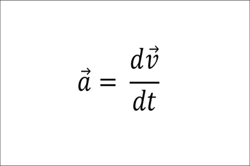
Công thức tính gia tốc tổng quát trong trường hợp chuyển động biến đổi
Chuyển động biến đổi là chuyển động có gia tốc thay đổi theo thời gian. Trong trường hợp này, ta không thể sử dụng các công thức trên mà phải dùng đạo hàm để tính gia tốc. Công thức tổng quát là a=dv/dt. Trong đó: a là gia tốc, đơn vị là mét trên giây bình (m/s2); v là vận tốc, đơn vị là mét trên giây (m/s); t là thời gian, đơn vị là giây (s).
Công thức này cho phép ta tính gia tốc tại một thời điểm bất kỳ, nếu biết được hàm vận tốc theo thời gian. Đây là công thức chính xác nhất để tính gia tốc, nhưng cũng phức tạp nhất.
Một số loại gia tốc phổ biến được sử dụng trong vật lý
Trong vật lý, có nhiều loại gia tốc khác nhau, tùy thuộc vào cách tính và tính chất của chuyển động. Dựa vào định nghĩa gia tốc là gì và sự ảnh hưởng của nó trong vật lý thì chúng ta có thể suy ra một loại gia tốc phổ biến như sau:
Gia tốc tức thời: Là gia tốc của một vật tại một thời điểm xác định, được tính bằng đạo hàm của vận tốc theo thời gian.
Gia tốc trung bình: Là gia tốc của một vật trong một khoảng thời gian nhất định, được tính bằng tỉ số của sự thay đổi vận tốc và thời gian.
Gia tốc pháp tuyến: Là gia tốc của một vật trong chuyển động hình cong, có phương vuông góc với tiếp tuyến của quỹ đạo, chiều luôn hướng về phía phần lõm của quỹ đạo. Gia tốc pháp tuyến cúng được xem là có tính chất đặc trưng cho sự thay đổi phương của vận tốc.
Gia tốc tiếp tuyến: Là gia tốc của một vật trong chuyển động hình cong, có phương trùng với tiếp tuyến của quỹ đạo, cùng chiều khi chuyển động nhanh dần và chuyển động chậm dần khi ngược chiều.
Gia tốc toàn phần: Là gia tốc của một vật trong chuyển động hình cong, có phương và độ lớn là kết quả của hai thành phần gia tốc pháp tuyến và gia tốc tiếp tuyến.
Gia tốc trọng trường: Là gia tốc của một vật do tác dụng của trọng lực, có phương thẳng đứng và hướng về tâm trái đất. Gia tốc trọng trường là một đại lượng không đổi ở một nơi xác định trên bề mặt trái đất.
Ý nghĩa và vai trò của gia tốc trong vật lý
Gia tốc là gì luôn là vấn đề mang ý nghĩa quan trọng trong vật lý, vì nó cho biết sự biến đổi của vận tốc, tức là sự biến đổi của động lượng và năng lượng của vật. Đây cũng là đại lượng liên quan đến lực, theo định luật Newton, lực bằng tích của khối lượng và gia tốc (F=ma). Gia tốc cũng là đại lượng liên quan đến công, theo công thức công bằng tích của lực và quãng đường (W=Fs), nếu lực và quãng đường cùng phương.
Đại lượng này có vai trò trong nhiều lĩnh vực của vật lý, như cơ học, điện từ, nhiệt động, quang học, lượng tử, tương đối, vũ trụ,… Gia tốc được sử dụng để mô tả và phân tích các chuyển động phức tạp, như chuyển động rơi tự do, chuyển động ném xiên, chuyển động tròn đều, chuyển động dao động, chuyển động sóng,… Không những vậy, nó cũng được sử dụng để đo lường và kiểm soát các thiết bị và máy móc trong các xí nghiệp lớn hiện nay.
Gia tốc là một trong những đại lượng cơ bản để mô tả các chuyển động trong vật lý. Đại lượng này có ý nghĩa và vai trò quan trọng trong nhiều lĩnh vực của vật lý và cuộc sống. Gia tốc là một khái niệm phổ biến và thú vị, có thể được khám phá và nghiên cứu bằng nhiều cách khác nhau.
Ứng dụng của gia tốc là gì?
Gia tốc là một khái niệm quan trọng trong vật lý và có nhiều ứng dụng thực tế rộng rãi. Không chỉ giúp chúng ta hiểu về sự thay đổi vận tốc của vật, mà còn đóng vai trò quan trọng trong việc nghiên cứu và áp dụng vào các lĩnh vực khác nhau. Dưới đây là một số ví dụ về ứng dụng của đại lượng này trong một số lĩnh vực.
Trong công nghiệp
Gia tốc kế là thiết bị đo gia tốc của một vật, thường dùng trong các ngành công nghiệp như ô tô, hàng không, robot, máy móc,… Một số ứng dụng của gia tốc kế trong công nghiệp là:
Điều khiển và đánh giá hiệu suất của các loại máy móc, robot, xe hơi, máy bay và tàu thủy. Gia tốc kế giúp đo được tốc độ quay và hướng của một đối tượng. Từ đó nó cung cấp thông tin quan trọng cho việc điều khiển và tối ưu hóa hoạt động của các thiết bị.
Bảo vệ ổ cứng của máy tính xách tay khỏi bị hư hại: Nếu máy tính xách tay bị rơi đột ngột khi đang sử dụng, gia tốc kế sẽ phát hiện sự thay đổi của gia tốc và gửi tín hiệu để ổ cứng ngừng hoạt động, tránh bị va đập và mất dữ liệu.
Phát hiện và cảnh báo va chạm của xe hơi: Gia tốc kế được lắp đặt trong xe hơi để đo được sự thay đổi của gia tốc khi xe bị va chạm. Từ đó có thể chủ động kích hoạt túi khí, đèn báo, còi báo động và hệ thống an toàn khác.
Trong sinh học và y học
Gia tốc cũng có nhiều ứng dụng trong lĩnh vực sinh học và y học như sau:
Nghiên cứu về cơ chế vận động của các sinh vật: Từ khái niệm gia tốc là gì và ứng dụng của nó mà nhiều nhà nghiên cứu đã có thể biết được cơ chế vận động của nhóm động vật này. Gia tốc kế được gắn vào các sinh vật như chim, cá, côn trùng,… Việc này để đo được gia tốc của chúng khi di chuyển. Từ đó, có thể phân tích được cơ chế vận động, hành vi và sinh lý của các sinh vật này.
Đo lường và theo dõi hoạt động thể chất của con người: Gia tốc kế được tích hợp vào các thiết bị đeo thông minh như đồng hồ, vòng đeo tay,… để đo được gia tốc của cơ thể khi hoạt động. Từ đó, có thể tính được lượng calo tiêu thụ, nhịp tim, độ mệt mỏi,… để đưa ra các gợi ý về sức khỏe và lối sống.
Chẩn đoán và điều trị các bệnh lý liên quan đến thăng bằng: Gia tốc kế được dùng để đo được gia tốc của đầu và mắt khi người bệnh bị chóng mặt, hoa mắt, rối loạn thăng bằng,… Điều này giúp xác định được nguyên nhân và phương pháp điều trị phù hợp cho những bệnh lý này.
Trong hàng không và không gian
Gia tốc là đại lượng vật lý đo lường mức độ thay đổi vận tốc của một vật trong một đơn vị thời gian. Gia tốc có nhiều ứng dụng quan trọng trong lĩnh vực hàng không và không gian như:
Gia tốc kế là thiết bị cảm biến gia tốc, có độ nhạy và chính xác cao, là thành phần của hệ thống dẫn đường quán tính cho máy bay và tên lửa. Gia tốc kế giúp xác định vị trí, hướng và tốc độ của phương tiện bay mà không cần sử dụng tín hiệu GPS hay các thiết bị bên ngoài.
Đại lượng này cũng được sử dụng để tính toán lực tác động lên tàu vũ trụ, động cơ tên lửa hay trái đất có thể tác động lên tàu. Nó cũng ảnh hưởng đến sức khỏe và sinh tồn của phi hành gia khi ở trong môi trường không trọng lực.
Gia tốc cũng được sử dụng để phát hiện và theo dõi độ rung trong các hệ thống máy móc quay như động cơ máy bay, tuabin gió hay quạt. Nó cũng có thể giúp phòng ngừa và khắc phục các sự cố do rung động gây ra trong quá trình hoạt động.
Kết luận
Trong bài viết này, chúng ta đã tìm hiểu về khái niệm gia tốc là gì và công thức tính toán gia tốc chính xác nhất. Từ đó có thể thấy rằng đây là đại lượng được sử dụng rộng rãi trong nhiều lĩnh vực khác nhau. Với lượng kiến thức trên về gia tốc, mong rằng bạn có thể có những thông tin hữu ích nhất về đại lượng này.
Xem thêm:














