Bạn đã từng nhìn thấy máy lạnh hiển thị nhiệt độ bằng độ F và tự hỏi không biết cách đổi độ F sang độ C như thế nào chưa? Việc hiểu rõ mối quan hệ giữa Fahrenheit và Celsius không chỉ giúp bạn điều chỉnh máy lạnh chính xác mà còn đảm bảo nhiệt độ phù hợp, tiết kiệm điện và thoải mái hơn trong không gian sống. Bài viết này sẽ giải thích 1 độ F bằng bao nhiêu độ C, hướng dẫn các cách chuyển đổi nhanh chóng trên máy lạnh, đồng thời cung cấp những thông tin cơ bản về các đại lượng đo nhiệt độ phổ biến, giúp bạn sử dụng thiết bị điện tử hiệu quả hơn.
Độ F là gì?
Độ F hay độ Fahrenheit là đơn vị đo nhiệt độ được đặt theo tên nhà vật lý Daniel Gabriel Fahrenheit (1686–1736). Hệ thống Fahrenheit được sử dụng rộng rãi tại Mỹ và một số quốc gia khác, đặc biệt trong các thiết bị gia dụng, máy lạnh, tủ lạnh, lò nướng và một số thiết bị công nghiệp. Điểm nổi bật của Fahrenheit là định nghĩa các mốc nhiệt độ quen thuộc: 32°F tương đương điểm đóng băng của nước, còn 212°F là điểm sôi.

Sử dụng độ F giúp người dùng quen với chuẩn nhiệt độ phổ biến tại thị trường Mỹ và dễ dàng so sánh các thiết bị điện tử, máy lạnh với hướng dẫn kỹ thuật gốc. Việc hiểu về độ F không chỉ hữu ích khi cài đặt thiết bị mà còn hỗ trợ trong các công việc kỹ thuật, nghiên cứu hoặc khi du lịch đến các quốc gia sử dụng hệ thống này.
Trong nhiều trường hợp, người dùng cần biết cách đổi độ F sang độ C để dễ dàng điều chỉnh nhiệt độ phù hợp với thói quen sử dụng tại Việt Nam hoặc các nước dùng hệ độ C. Ví dụ, máy lạnh nhập khẩu từ Mỹ thường hiển thị nhiệt độ bằng độ F, nên nắm cách chuyển đổi sẽ giúp bạn thiết lập nhiệt độ phòng chuẩn xác, đảm bảo vừa thoải mái vừa tiết kiệm điện năng.
Độ C là gì?
Độ C hay độ Celsius là đơn vị đo nhiệt độ được đặt theo nhà thiên văn người Thụy Điển Anders Celsius. Đây là chuẩn quốc tế SI, phổ biến ở hầu hết các quốc gia, trong đó có Việt Nam. Trong hệ độ C, 0°C là điểm đóng băng của nước và 100°C là điểm sôi ở áp suất tiêu chuẩn. So với độ F, độ C dễ hình dung và thuận tiện khi tính toán, vì các khoảng cách nhiệt độ được chia thành 100 phần giữa điểm đóng băng và sôi của nước.

Hiểu về độ C và cách đổi độ F sang độ C giúp người dùng dễ dàng thiết lập các thiết bị điện tử, từ máy lạnh, lò vi sóng, đến các thiết bị đo nhiệt khác. Trong đời sống hằng ngày, độ C được áp dụng rộng rãi để đo nhiệt độ cơ thể, thời tiết, hoặc cài đặt máy lạnh sao cho phòng luôn mát, dễ chịu mà vẫn tiết kiệm năng lượng. Việc nắm vững mối quan hệ giữa độ F và độ C giúp bạn sử dụng thiết bị nhập khẩu chính xác, tránh nhầm lẫn khi đọc các thông số nhiệt độ.
1 độ F bằng bao nhiêu độ C?
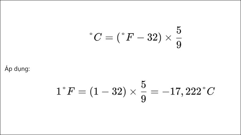
Để biết cách đổi độ F sang độ C, ta cần hiểu 1 độ F bằng bao nhiêu độ C. Trước hết cần nắm công thức chuyển đổi nhiệt độ giữa hai hệ này. Công thức chuẩn là:

Như vậy, 1 độ F ≈ -17,22 độ C. Đây là một giá trị âm, cho thấy độ F thấp hơn nhiều so với độ C. Cách tính này áp dụng cho mọi mức nhiệt độ, từ điều chỉnh máy lạnh, nhiệt độ phòng, nhiệt độ nước cho đến các ứng dụng trong kỹ thuật và khoa học.
Người dùng máy lạnh thường thấy thông số nhiệt độ hiển thị bằng độ F, đặc biệt với các sản phẩm nhập khẩu từ Mỹ. Việc nắm rõ cách chuyển đổi này giúp bạn điều chỉnh nhiệt độ phòng chính xác theo nhu cầu, đảm bảo vừa thoải mái vừa tiết kiệm điện năng. Ngoài ra, nếu thường xuyên cần tra đổi nhiệt độ, bạn có thể dùng các công cụ trực tuyến hoặc ứng dụng trên điện thoại, nhập độ F và nhận kết quả ngay lập tức bằng độ C, cực kỳ tiện lợi, nhất là trong mùa hè oi bức hoặc khi sử dụng điều hòa thông minh. Hiểu rõ 1 độ F bằng bao nhiêu độ C là bước quan trọng để sử dụng máy lạnh hiệu quả, an toàn và hợp lý.
Cách chuyển đổi qua lại giữa độ F và độ C trên máy lạnh
Trên nhiều máy lạnh hiện đại, đặc biệt là các dòng máy nhập khẩu từ Mỹ hoặc châu Âu, đơn vị hiển thị nhiệt độ mặc định có thể là độ Fahrenheit (°F). Tuy nhiên, người dùng Việt Nam thường quen sử dụng độ Celsius (°C). Việc nắm rõ cách đổi độ F sang độ C trên máy lạnh sẽ giúp bạn điều chỉnh nhiệt độ chính xác, tiết kiệm điện và bảo vệ sức khỏe. Để tiện lợi khi sử dụng máy lạnh, bạn cần biết cách chuyển đổi nhiệt độ hiển thị. Dưới đây là bảng minh họa chuyển đổi phổ biến:
| Nhiệt độ (°F) | Nhiệt độ tương đương (°C) |
|---|---|
| 60°F | 15,56°C |
| 65°F | 18,33°C |
| 68°F | 20°C |
| 70°F | 21,11°C |
| 72°F | 22,22°C |
| 75°F | 23,89°C |
| 78°F | 25,56°C |
| 80°F | 26,67°C |
| 85°F | 29,44°C |
| 90°F | 32,22°C |
Ngoài cách tra bảng, một số máy lạnh hiện đại cho phép thay đổi trực tiếp chế độ hiển thị °F sang °C bằng nút Mode / Settings hoặc thông qua ứng dụng điều khiển từ xa.

Lưu ý khi chuyển đổi trên máy lạnh:
Không đổi đơn vị khi máy đang vận hành ở chế độ sưởi hoặc làm lạnh cực mạnh để tránh trục trặc hiển thị.
Sau khi chuyển đổi đơn vị, nên kiểm tra lại nhiệt độ phòng bằng nhiệt kế để đảm bảo đúng với nhu cầu sử dụng.
Ghi nhớ nhiệt độ lý tưởng: 25–27°C (77–80°F) cho mùa hè và 20–22°C (68–72°F) cho mùa đông, đảm bảo tiết kiệm điện và thoải mái.
Một số đại lượng đo nhiệt độ phổ biến khác
Ngoài độ Fahrenheit và độ Celsius, còn có các đơn vị đo nhiệt khác. Hiểu các đại lượng đo nhiệt giúp người dùng dễ dàng đọc các thiết bị, tra cứu thông số kỹ thuật hoặc chuyển đổi khi sử dụng máy lạnh nhập khẩu.
Kelvin (K) chuẩn trong khoa học và nghiên cứu
Kelvin (K) là đơn vị đo nhiệt độ chuẩn quốc tế (SI), được sử dụng rộng rãi trong khoa học, kỹ thuật và nghiên cứu. Điểm đặc biệt của Kelvin là nó bắt đầu từ 0 tuyệt đối, tức -273,15°C, nơi mà tất cả chuyển động phân tử gần như ngừng hoàn toàn. Không giống như Celsius hay Fahrenheit, Kelvin không dùng đơn vị “độ” mà trực tiếp đo nhiệt độ tuyệt đối, giúp các nhà khoa học dễ dàng tính toán và so sánh dữ liệu trong vật lý, hóa học, năng lượng hoặc các ngành kỹ thuật chính xác.
K=°C+273,15

Trong thực tế, Kelvin thường xuất hiện trong các công thức tính nhiệt động học, vật lý lượng tử, nghiên cứu nhiệt độ trong phòng thí nghiệm và đo nhiệt độ môi trường cực đoan. Khi người dùng gặp thông số nhiệt độ hiển thị bằng Kelvin trên thiết bị khoa học, máy lạnh thử nghiệm, cảm biến kỹ thuật hoặc tài liệu nghiên cứu, họ có thể áp dụng cách đổi độ F sang độ C để hiểu rõ hơn nhiệt độ này trong hệ đo quen thuộc, từ Celsius hoặc Fahrenheit sang Kelvin và ngược lại, đảm bảo đo lường chính xác.
Rankine (°R) dùng trong kỹ thuật Mỹ
Độ Rankine (°R) là một đơn vị nhiệt độ ít phổ biến hơn, nhưng vẫn được sử dụng rộng rãi trong ngành kỹ thuật, cơ khí và công nghiệp tại Mỹ. Điểm khác biệt của Rankine là nó tương tự Kelvin nhưng tính bằng Fahrenheit: 0°R tương ứng với tuyệt đối 0°F, còn 491,67°R tương ứng với điểm sôi của nước. Các kỹ sư hoặc người dùng máy móc nhập khẩu từ Mỹ thường gặp Rankine trong các biểu đồ, tài liệu kỹ thuật hoặc máy móc đo nhiệt độ chuyên dụng.

Việc hiểu về độ Rankine giúp người dùng tính toán chính xác nhiệt độ trong quá trình vận hành, thiết lập máy móc hoặc phân tích dữ liệu kỹ thuật. Khi cần, bạn hoàn toàn có thể áp dụng cách đổi độ F sang độ C để chuyển nhiệt độ từ Rankine sang Fahrenheit trước, sau đó sang Celsius, từ đó sử dụng trong đời sống hàng ngày hoặc môi trường làm việc quen thuộc mà không gây nhầm lẫn.
Độ Réaumur (°Re) là một đơn vị truyền thống
Độ Réaumur từng là đơn vị đo nhiệt độ phổ biến ở châu Âu trước khi độ Celsius trở thành chuẩn quốc tế. Trong hệ Réaumur, nước đóng băng ở 0°Re và sôi ở 80°Re. Mặc dù hiện nay ít được dùng trong đời sống, đơn vị này vẫn xuất hiện trong một số sách nấu ăn cổ điển, tài liệu kỹ thuật cũ hoặc các thiết bị đo nhiệt của châu Âu.

Biết về độ Réaumur giúp người dùng đọc và hiểu đúng các thông số kỹ thuật, áp dụng công thức tính nhiệt độ mà không nhầm lẫn với Celsius hay Fahrenheit. Khi gặp các thiết bị hoặc tài liệu sử dụng °Re, bạn có thể kết hợp cách đổi độ F sang độ C: đầu tiên đổi sang Fahrenheit nếu cần, rồi sang Celsius để dễ áp dụng trong sinh hoạt, nấu nướng hoặc điều chỉnh máy lạnh, lò nướng, nồi hơi hiện đại.
Celsius (°C) và Fahrenheit (°F) được dùng phổ biến nhất
Ngoài các đơn vị chuyên ngành, độ Celsius và độ Fahrenheit vẫn là hai chuẩn phổ biến nhất trong đời sống hằng ngày. Khi bạn biết cách đổi độ F sang độ C, việc đọc nhiệt độ máy lạnh, điều chỉnh nhiệt độ phòng, nấu nướng hay theo dõi thời tiết trở nên chính xác và dễ dàng hơn. Độ C được dùng chủ yếu tại Việt Nam và châu Âu, trong khi độ F phổ biến ở Mỹ. Nắm vững mối quan hệ giữa hai đơn vị này sẽ giúp người dùng tối ưu hóa trải nghiệm sử dụng thiết bị gia dụng, từ máy lạnh, lò vi sóng, đến các thiết bị đo nhiệt chuyên dụng.

Tạm kết
Việc nắm rõ 1 độ F bằng bao nhiêu độ C và cách đổi độ F sang độ C giúp bạn điều chỉnh nhiệt độ máy lạnh chính xác, phù hợp với nhu cầu sử dụng, đảm bảo tiết kiệm điện và thoải mái. Khi gặp máy lạnh hiển thị Fahrenheit, bạn hoàn toàn có thể tự chuyển sang độ C nhanh chóng hoặc tra bảng tham khảo. Nếu bạn đang tìm mua máy lạnh hoặc cần tư vấn thiết bị làm mát phù hợp cho không gian sống, Hoàng Hà Mobile sẵn sàng cung cấp các sản phẩm uy tín và giải pháp chuyên nghiệp, đảm bảo trải nghiệm điều hòa lý tưởng cho gia đình.
XEM THÊM:




